RELEASE - Dinheiro traz felicidade sim, diz pesquisa de professores do IFSP
RELEASE
Dinheiro traz felicidade sim, diz pesquisa de professores do IFSP
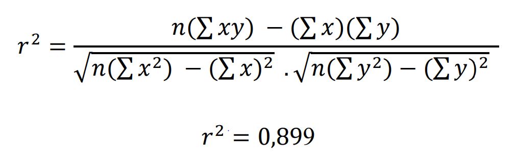
Um estudo realizado pelos pesquisadores Dr. Nélio Fernando dos Reis e Dr. Alequexandre Galvez do Instituto Federal de Educação, Ciência e Tecnologia de São Paulo – IFSP e publicado no periódico científico Revista de Inovação Social, ouviu 422 pessoas durante 6 meses e concluiu que, quanto mais alta a renda da pessoa, maior a felicidade. O estudo também demonstra que o dinheiro traz felicidade até um certo limite. A partir disso, pode-se acumular riqueza que não trará mais felicidade. Houve correlação positiva de 0,899 entre a renda e a felicidade assinalada.

“Fizemos uma ampla revisão da literatura para demonstrar que ao longo da vida a felicidade e o dinheiro produzem significados diversos segundo pensadores tais como: Confúcio; Aristóteles; Jesus Cristo; Keynes; Stuart Mill; Rousseau; Karl Marx e Freud. Podem ser fonte de prazer, de altruísmo e, ao mesmo tempo, de sofrimento e de desigualdade. ” Avalia o professor de administração Dr. Nélio Reis.
É PRECISO QUANTO PARA SER FELIZ?

Os pesquisadores Dr. Nélio e Dr. Alequexandre afirmam que ao aplicar modelo matemático chegaram à conclusão que 30 salários mínimos é o ponto ótimo da felicidade no Brasil. Ganhar mais que isso não aumenta o grau de felicidade, pois o resultado matemático apresenta uma curva assíntota denotando um ponto onde a felicidade não aumenta mais em função da renda. “O que se tem no país é uma busca desenfreada de consumo por produtos que sejam possíveis de ostentar para os outros nas redes sociais. Isso dura pouco, gera endividamento e pode ser causa de transtornos mentais” afirma o professor de administração Prof. Alequexandre.
Os professores irão prosseguir com a pesquisa científica, ampliando ainda mais o escopo de análise e testando outras hipóteses levantadas.
SOBRE GRUPO DE PESQUISA
Os pesquisadores são responsáveis pelo grupo de pesquisa “Inovação Social”. O grupo se dedica ao estudo e a busca de resolução de problemas reais que envolvam situações de incerteza ou contradição com características horizontais que se estendem a muitos domínios da sociedade. O grupo está inscrito no Diretório dos Grupos de Pesquisa do Brasil no CNPq se reúne mensalmente.